上海家电维修招聘信息 上海公布正规家电维修企业和服务电话
上海公布正规家电维修企业和服务电话
每年七、八两个月的高温时节,上海的空调维修量基本维持在80万件的体量,几乎占全年的一半,这也是家电维修李鬼现象频发的一个阶段。上海市商务委今天公布正规品牌生产厂商售后维修服务电话和正规家电维修服务企业名单。 一大早,朱阿姨就赶到家电维修服务进社区活动现场,她想问问到底哪里可以找到厂家的正规维修人员。朱阿姨说,有时候网上跳出来很多维修机构,但是他们来了以后,收你一点钱,也没修好,就走了。“所以有些东西我现在就是不修就丢掉了。”因为不放心,有人网上查好了,还要实地找一找,但结果常常是发现网站上的地址根本不存在。有意思的是,空调厂家的维修人员在维修的现场也能撞上李鬼。美的上海徐汇维修网点负责人殷成龙就告诉看看新闻Knews记者,他们去维修的时候,就看到有人在隔壁修,也穿着美的的衣服,“但一看就不是我们的维修人员。”
来自上海电子产品维修服务行业协会的统计,近年来,因为网络上的虚假厂家维修电话导致的消费者投诉有上升趋势。协会秘书长黄建平透露,通过网络搜索到的虚假厂家维修电话,现在已经占到整个投诉量的62%,原来信箱小广告的投诉比例反而已经逐步减少到30%了。去年,上海市消保委曾经特地挑选360、百度、58同城、淘宝等11家平台,搜索空调维修,进行专项消费体察,令人遗憾的是,11家平台中仅2家没欺诈性维修,其余9家都存在虚构故障。据了解,目前,上海家电维修服务以厂商授权服务商提供的售后服务为主,综合性社区服务商作为补充。上海市商务委今天要求生产企业有效担负起主体服务责任,并更新公布了全市162个品牌家电生产厂商的售后维修服务电话以及507家正规家电维修服务企业名单。
上海市商务委副主任诸旖在接受看看新闻Knews记者采访时表示,目前市民可以通过拨打962512热线,也可以通过12345平台、12315平台以及上海市商务委官网等途径查询到正规企业的相关服务信息。市商务委同时提醒有家电维修需求的消费者,对于从网上查到的维修企业电话和信息,一定要仔细甄别真伪,对于上门服务的人员,一定要查验其所持有的上海市统一家电维修上门服务证。
(看看新闻Knews记者:何晓 实习编辑:杨宇函)
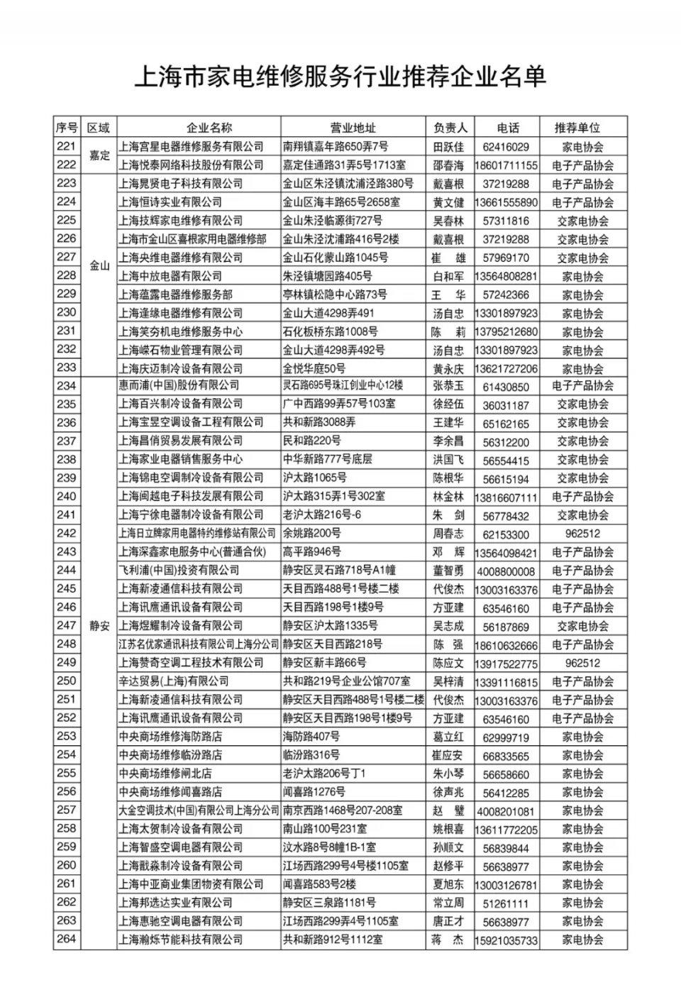
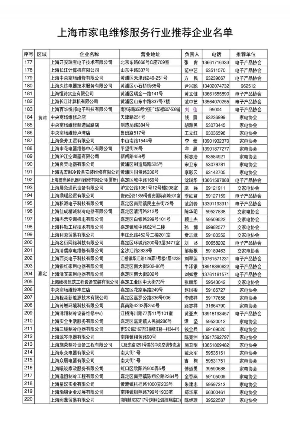
家电维修找哪家?沪上477家正规家电维修企业名单来了!
家用电器“罢工”,路边维修游击队不靠谱怎么办?
市商务委公布2020年品牌家电企业售后维修服务热线及授权维修服务网点名单,以及2020年行业协会推荐的477家正规维修企业名单,分布在本市各区,营业地址、联系电话等信息一应俱全。有需要的小伙伴可以收藏哦!
2020年品牌家电企业售后维修服务热线及授权维修服务网点名单
(以下图片均可点击看大图哦!)
2020年行业协会推荐家电维修企业名单
(以下图片均可点击看大图哦!)
相关问答
上海 热水器 维修 公司哪家好?-设计本有问必答推荐上海众德家电维修服务有限公司,这家的话是会提供给松下的电器的,而且就是维修技术是很高的。另外的话是乐万家燃气具上海维修中心,而且就是这家...
上海 修空调,冰箱赚钱吗?30岁厂里助理工程师,想学 家电维修 ,大家认为如何?可以挺赚钱的,一个月差不多1万多吧,前期没客户最好跟着一家大公司做,积累一点种子客户,然后自己贴点小广告,广告要持续贴可以挺赚钱的,一个月差不多1万多吧,...
九阳电器售后 上海维修 点查询?九阳电器维修中心地址:上海杨浦区黄兴路1616号百安居内(近国权路)九阳电器维修中心地址:上海宝山区共和新路4735号(近江场西路)九阳电器维修中心地址:上...
上海 燃气热水器 维修点 哪里有?-设计本有问必答上海能率燃气热水器维修公司地址:上海市虹桥路996号能率NORITZ燃气热水器售后维修服务中心地址:上海市长宁区中山西路800号上海能率NOR...
上海家电 协会会长?会长:邓永明,男,总经理上海锦辉工业供销有限公司上海家用电器行业协会成立于1985年8月,为本市家用电器行业企事业单位自愿组成的跨部门、跨所有制的非营利...
小熊电器 上海维修 点查询附近?小熊电器附近维修点在浦东新区张杨北路535号小熊电器上海浦东新区售后服务中心是公司以客户为中心,深入了解客户需求,凭借丰富的推广经验和渠道资源,由专门的...
上海市 空调 维修 收费标准是怎样的?_住范儿家装官网家电行业协会规定90元维修费,30元检查费和上门费。他们是小修、中修、和大修90元到180元维修费,一般空调修理公司,都是游击队。你只有找住家附近的...
上海 交航 家电维修 培训是正规的吗?上海做家电培训的也就只有他们家,我们店里好几个是那边过来的,基本功都比较不错,上手快。就是刚来时动手差一些,稍微带带就好了,刚学出来有点手生也很正常,...
日本品番:ES-Lv50电动胡须刀 上海 哪里有 维修 ?以下维修部都可以维修。1。上海茸岳电器有限公司主营:脱毛器剃须刀电吹风空气净化器加湿器电熨斗维修地址:松江区人民北路民乐小区17号。2。青浦慧科...
上海 美的燃气热水器 维修点 地址在哪?[回答]1、燃气热水器维修地址:上海市徐汇区田林东路田林十二村内(近钦州路)2、美的燃气热水器售后维修点地址:上海市浦东新区杨高中路506号3123、美的燃...
相关文章
-
AI芯片散热检测全攻略:从手机主板到ECU的车规级可靠性实战详细阅读
一句话摘要:本文面向电子维修人员、质检工程师及电子爱好者,系统梳理消费电子、汽车电子、工业电子三大行业场景下贴片芯片散热性能的检测方法。从基础的红外热...
2026-04-21 0
-
2026年在线教育AI课出海代理:别再“撒钱投流”了,真正的金矿在“本地化死磕”详细阅读
咱就是说,现在你要是还在办公室里坐着,琢磨着怎么把国内那套AI课原封不动搬去美国或者东南亚,那我真得拍你大腿喊一声“醒醒”! 前阵子我跟一个在越南搞...
2026-04-21 7
-
2026年国外AI助手深度测评:别再问Siri了,这3个黑马才是真正的救星!详细阅读
说实话,我刚从朋友那儿回来,他一边泡茶一边跟我吐槽:你说现在这个AI助手国外那么多,到底哪个好用啊?我刚花了半天时间研究Gemini、ChatGPT和...
2026-04-21 8
-
2026年AI助手翻译大爆发!从出国问路到国际会议,这波技术真的香吗?详细阅读
“Excuse me, can you help me find the nearest subway station?” 上个月在纽约街头,我鼓起勇...
2026-04-21 8
-
2026年AI助手真能帮你“躺着上班”?我试了三个月,有几句大实话想跟你唠唠详细阅读
说出来你可能不信,我以前是个坚定的“反AI派”——觉得什么智能助手啊,不就是个高级点的引擎嘛,有啥稀奇的。 事情得从去年年末说起。当时我在赶一个项目...
2026-04-21 9
-
2026年4月9日|AI插图助手底层原理详解:从扩散模型到多智能体协同详细阅读
在生成式人工智能席卷各行各业的浪潮中,AI插图助手已成为连接文字创意与视觉呈现的核心生产力工具。它能够将自然语言描述转化为风格多样的插图,大幅降低视觉...
2026-04-21 12
-
2026年4月9日|AI战略助手带你吃透Spring AOP:从概念到原理一次打通详细阅读
AOP(面向切面编程,Aspect-Oriented Programming)是Spring框架两大核心技术之一,也是Java后端面试中绕不开的高频考...
2026-04-21 11
-
2026年4月8日:解锁乡村AI助手RAG架构!大模型幻觉终结者的底层揭秘详细阅读
当村干部深夜收到村民咨询却翻遍政策手册找答案时,当农户用手机对着病害叶片提问却得到“幻觉式”回答时,一种让大模型学会“先查资料、再给答案”的架构正悄然...
2026-04-20 10

最新评论